氨基***叉***酸四钠 ATMP•Na4
Tetra sodium salt of Amino Trimethylene Phosphonic Acid (ATMP•Na4)
别名:氨基三亚甲基***酸四钠 CAS No. 20592-85-2
分子式 C3H8NO9P3Na4 相对分子质量:387
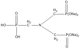
结构式

一、性能与用途:
ATMP•Na4是ATMP的中性钠盐,可阻止水中成垢盐类形成水垢,特别是碳酸钙垢的形成。 ATMP•Na4适用于火力发电厂、炼油厂的循环冷却水、油田回注水系统。ATMP•Na4对于其他一些添加剂也有很好的相容性。ATMP•Na4特别适用于中性到酸性配方中,无氨味产生。
二、质量指标
| 项 目 | 指 标 |
| 外 观 | 无色或淡***透明液体 |
| 活性组分(以ATMP计) % | 29.4-32.4 |
| 活性组分(以ATMP•Na4计) % | 38.0-42.0 |
| PH值(1%水溶液) | 6.5-7.5 |
| Fe(以Fe3+)含量ppm ≤ | 35 |
| 密度(20℃)g/cm3 ≥ | 1.35-1.45 |
三、应用范围与使用方法
ATMP•Na4与其它有机***酸、聚羧酸或聚羧酸盐等复配成有机碱性水处理剂,用于各种不同水质条件的循环冷却水系统。
四、包装与贮存
ATMP•Na4用塑料桶包装,每桶30Kg 或250Kg,也可根据用户需要确定。ATMP•Na4贮于室内阴凉处,贮存期十个月 。
