二乙烯三胺五甲叉***酸七钠 DTPMP•Na7
sodium salt of hylene Triamine Penta (Methylene Phosphonic Acid) (DTPMP•Na7)
CAS No. 68155-78-2 (7-Na) 22042-96-2 (x-Na)
分子式 C9H21O15N3P5Na7 相对分子质量:727
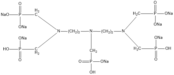
结构式

一、产品性能
DTPMP•Na7可用作阻垢剂、***螯合剂、优良的BaSO4阻垢剂,DTPMP•Na7广泛用于冷却水处理、过氧化物漂白的稳定剂、洗涤助剂、市政工业清洁用水、地热水处理、油田阻垢。
二、质量指标
| 项 目 | 指 标 | |
| 外 观 | 红棕色液体 | |
| 活性组分(以DTPMPA计) % | 31.5-33.5 | 24.0-26.0 |
| 活性组份(以DTPMPA·Na7计) % | 40.0-42.5 | 30.5-33.0 |
| 总磷(以PO43-计)% | 25.9-27.9 | 19.7-21.7 |
| 氯化物 (以Cl-计) % | 5.0 | |
| Fe(以Fe3+计)含量ppm ≤ | 20 | |
| PH值(1%水溶液) | 7.0-9.0 | |
| PH值(原液) | 6.0-8.0 | |
| 密度(20℃)g/cm3 | 1.34-1.44 | 1.24-1.34 |
三、包装与贮存
DTPMP•Na7用塑料桶包装,每桶25Kg 或250Kg,也可根据用户需要确定。贮于室内阴凉处,贮存期十个月。
四、安全防护
应避免DTPMP•Na7与眼睛、皮肤接触,一旦溅到身上,应立即用大量水冲洗。
