双1,6-亚己基三胺五甲叉***酸钠 BHMTPh•PN (Nax)
别名:二己烯三胺五亚甲基***酸钠 CAS No. 35657-77-3
分子式 C17H44-XO15N3P5Nax 相对分子质量:约731
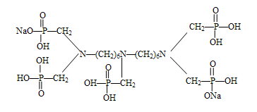
结构式

一、产品性能
BHMTPh•PN(Nax)是***的螯合型阻垢剂,对碳酸盐垢和***盐垢具有良好的阻垢效果。在较宽的pH范围和120℃高温下有***的水溶性和热稳定性,对钙离子容忍度高。
二、质量指标
| 项 目 | 指 标 |
| 外 观 | 深棕色液体 |
| 活性组份(以酸计) % | 35.0-39.0 |
| Fe(以Fe3+计)含量ppm ≤ | 65 |
| 密度(20℃)g/cm3 | 1.21-1.31 |
| PH(1%水溶液) | 2.5-4.5 |
三、应用范围与使用方法
BHMTPh•PN(Nax)是油田水处理中的缓蚀阻垢剂,工业循环冷却水和锅炉水的阻垢缓蚀剂。
四、包装与储存
BHMTPh•PN(Nax)用塑料桶包装,每桶25Kg或根据用户需要确定。贮于室内阴凉处,贮存期为十个月。
五、安全防护
BHMTPh•PN(Nax)为弱酸性,应避免与眼睛、皮肤接触,一旦溅到身上,应立即用大量水冲洗。
